Tensorflow 介绍
- 由 Google 开发的端到端机器学习开源平台
- 可伸缩性 & 可延展性
- 分布式训练
- API 等级
- 低层级 API: Tensorflow Core
- 高层级 API:
tf.contrib→ Keras
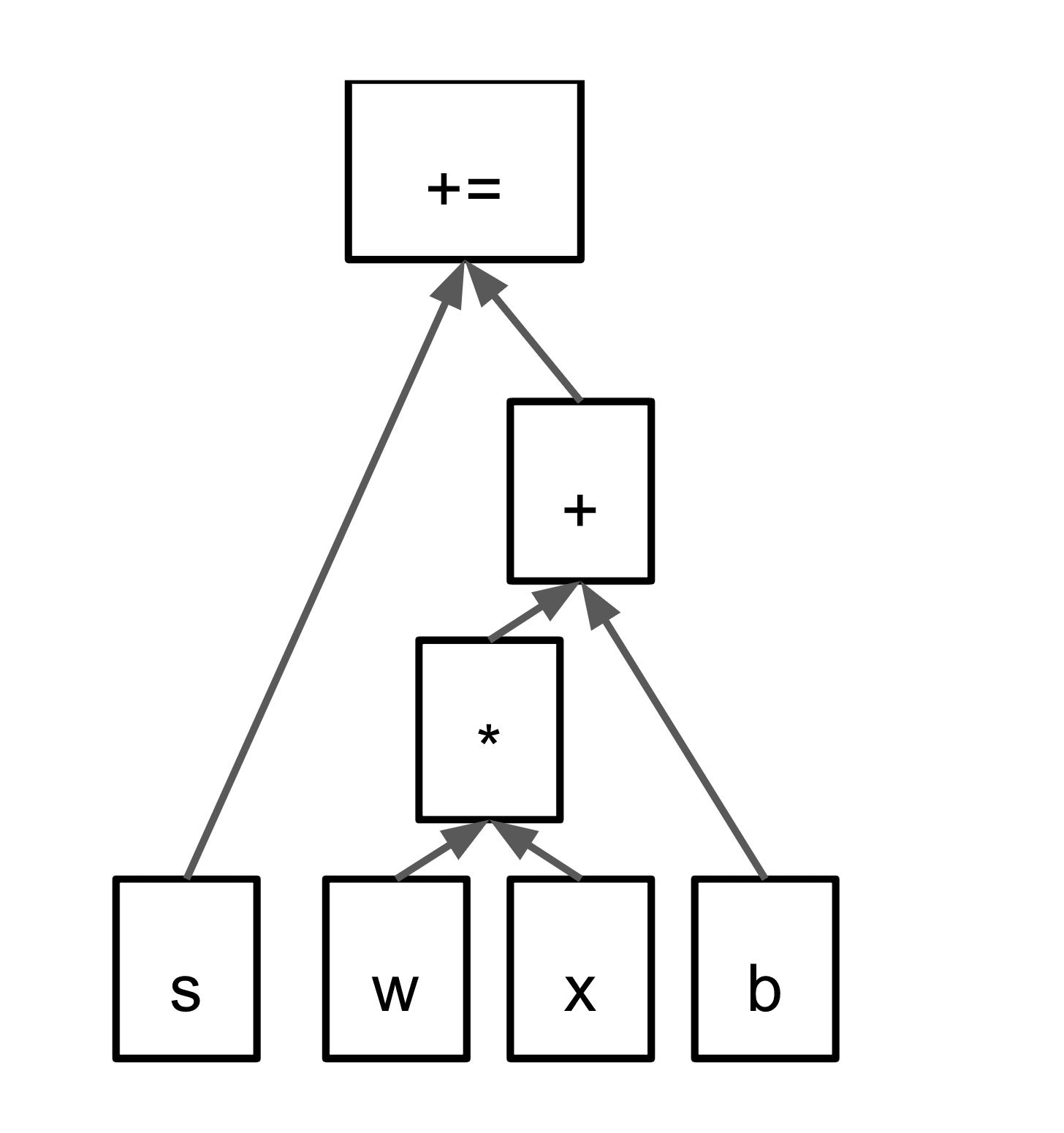
计算图
- Tensor(张量) 是 Tensorflow 中的主要单元。

结点表示运算符 (加减乘除、sigmoid、ReLU…)
边表示tensor
静态计算图 & 动态计算图
- 静态计算图 (tf.Session → tf.function)
在过去,Tensorflow 将计算图构建和 runtime 喂送资料的过程分开来,而这样的设计便是使用 tf.Session 来处理所有数据的流向。 然而,在 2.0 为了能更简化使用者介面,就是让 tf.Session 有如使用 python 一般直觉,那就是以 tf.function 取代。
- 2.0 中默认采用动态计算图 Eager execution
Eager Execution 无需先构建计算图,然后再在 tf.Session 里评估它。它允许用 python 语句控制模型的结构。 它拥有更加直观的界面,以及更自然的流程控制。
- 静态计算图 (tf.Session → tf.function)
分层模块架构

Client
- 用户编写 TensorFlow 程序来构建计算图
- 支持多种编程语言 (优先支持 Python & C++)
- Swig 依赖库:将 C++语言包装成可以支持多种编程语言
- Client 创建一个 session,将图定义为 tf.GraphDef,并以 protocal buffer 的形式传送至Distributed Master

处理架构
- 一个 worker 表示一个计算任务(进程)
- “PS” 表示Parameter Server,作用为存储及更新模型中的参数。

计算图 2
Distributed Master & Work Service
- 只有分布式 Tensorflow存在这两个模块
- 核心:图的分裂
- Distributed Master
- 将计算图剪枝得到最小依赖子图
- 再将子图分裂成多个Partition,分配在多个 worker 上。
- Distributed Master 会在 worker 之间插入SEND和RECV结点。
- Work Services (一个 worker 当中有一个)
- worker 中二次分裂 Partition
- 根据**kernel implementations,**选择应该把每个 Partition 放在哪个最适合的硬件当中执行
计算图 with Work Service in each task (根据 kernel 层选择子图应放置到哪一个 hardware) - Work Service 会将 kernel operators 分发到多个本地设备,并在允许时并行运行 kernels
- 设备之间通信:
- CPU 和 GPU 之间:
cudaMemcpyAsync()API - GPU 和 GPU 之间:peer-to-peer DMA
- CPU 和 GPU 之间:
- worker 之间通信:
- gRPC over TCP
- RDMA over Converged Ethernet
Dataflow Executor
- 执行优化过的数据流图
Kernel Implementations
- 包含超过 200 种的操作函数,包括:
- 张量运算
- 控制流
- 状态管理
- 为不同设备进行相应地优化
- 使用的库:
- cuDNN:更高效地使用 kernels
- quantization:针对移动端提升运算效能
- gemmlowp:低精度的矩阵库
Device Layer & Networking Layer
- Device layer 与各种不同的硬件沟通,如 CPU、GPU、TPU。
- Networking layer 使用不同网络协议去跟分布计算机交互。
逻辑架构

逻辑架构
训练
- tf.data:加载训练用的原始数据
- tf.keras:构建、训练和验证模型
- Eager Execution:运行和调试
- Distribution Strategy:进行分布式训练
- SavedModel:保存导出的训练模型,并且将训练模型标准化输出
Extras
可视化
- TensorBoard 用于 TensorFlow 可视化
模型仓库
- TensorFlow Hub 用于保存训练好的 TensorFlow 模型,供推理或重新训练使用
Tensorflow 2.0
- 移除queue runners输入数据方式,改用tf.data
- 在过去 1.x 的时代,
tf.Variable的状态是由tf.Graph的 graph collection 来管理,而其生命周期则由tf.Session管理。如今,在 2.0 graph collection 被移除掉后,tf.Variable会被当成一般 Python 物件处理。